Analysis of Atmospheric Air Pollutants using Lichens as a Bio-monitor by Calibration Free-Laser Induced Breakdown Spectroscopy Technique
Article Main Content
Biomonitoring provides information on the quality of the environment or its modification and has been used as an alternative to monitoring chemical pollutants. The lichen bio-monitoring technique and calibration Free-Laser induced Breakdown spectroscopy (CF-LIBS) were used to study trace element atmospheric deposition in five areas of Addis Ababa city. The emission of air pollutants, mainly from anthropogenic sources, has led to the degradation of air quality. The element contents of the transplanted Epiphytic lichen were determined in the vicinity of different heavy traffic and small industry places. We identified twenty-one elements (Fe, Ti, U, V, Ni, Eu, Zr, Sr, Ba, Hf, Na, K, Sc, Si, Al, Mg, Ca, C, N, O, and H). Calibration Free-Laser induced breakdown spectroscopy and semi-quantitative methods were used to calculate the concentration of pollutants to point out the most polluted areas for the chemical analysis. Dried samples of the lichen containing heavy pollutants elements like Fe, Ti, Sr, Sc, Ba, Ni, Eu, and Zn are found, and their concentration is determined. Comparison of the elemental concentration in lichen samples transplanted in 4-kilo and science faculty compound with those the Bola airport, central bus station, and Laghar train station reveals that the science faculty compound and 4-kilo areas show a considerably higher concentration of most elements in the lichen than observed in the other areas of the city where lichen samples have been transplanted. Advanced MATLAB algorithm have been used for data analysis.
Introduction
The rising input of pollutants into the biosphere from anthropogenic and natural sources requires regular worldwide monitoring of contaminants. In the last few decades, the emissions of pollutants from various human activities have increased due to rapid industrial and technological growth. As a result, the translocation of toxic contaminants from the environment to living systems and their accumulation is the concern of most environmental protection agencies. Applications of atomic spectrometry for multi-element profiling of ecological samples will progress soon. Environmental interest in air pollutants has centered mainly on properties such as high toxicity and cumulative poisoning in humans and animals. Consequently, efforts towards developing more effective, faster, precise, and accurate approaches for pollutant identification and determination in several methods have increased.
In recent times Laser-induced breakdown spectroscopy (LIBS) has come to play an essential role in environmental analysis [1]. In this technique, a high-powered laser pulse is focused onto a sample to create plasma, which results from the vaporization and atomization of a small amount of target material. Spectroscopic analysis of the light emitted as the plasma cools allows for identifying elements within the sample. This technique has been applied to determine the elemental compositions of various materials in the solid, liquid, or gaseous phases [2]–[4].
Analysis of environmental pollutants constituents of atmospheric air in different places is generally performed in various methods. One of the most known methods, using lichens to measure the environmental effects of air pollution, has been widely acknowledged. Lichen is recognized as being very sensitive to atmospheric pollution first study with bioindicators dates back to the 1960s [5]. A study was published on Epiphyte lichens used as biomonitors [6]. Today, Epiphytic lichens have been widely used as biomonitors of the effects of atmospheric pollutants. Bio monitors are organisms that can be used to identify and quantify contaminants and environmental damages [6].
Lichens are excellent biomonitors of air quality because they have uniform morphology over time, lack waxy cuticles and stomata, and readily absorb gases and dissolved substances in the air through their surface [7], [8]. Lichens result from a symbiotic association between a fungus and an alga [6]. The data from lichen surveys allow examination of both spatial and temporal trends in heavy metal and radioactive deposition and identification of areas where there is high deposition of heavy metals from long-range atmospheric transport and local sources [9], [10].
This paper reports a case study undertaken to evaluate the qualitative of the central air pollutants using Epiphytic lichens as bio-monitor in a complex Addis Ababa city area (capital city of Ethiopia) and application of CF-LIBS as semi-quantitative determination of the heavy metals pollutants deposition. We used two methods in the sampling phase and the analysis of the samples: a stratified random sampling strategy mainly based on high anthropogenic emission expected to be available from different sources to emphasize local environmental differences and a CF-LIBS technique used to measure the pollutants of atmospheric air by determining constituent elements in bio-monitor of lichen samples. In the presented system, the plasma characterization parameters are used to identify the pollutant elements of atmospheric air. In doing so, spectroscopic analysis of plasma evolution of laser-produced plasmas has been characterized in terms of their spectra, electron density, and electron temperature assuming the local thermodynamic equilibrium (LTE) and optically thin plasma conditions.
Materials and Methods
Study Area
Addis Ababa is Ethiopia’s capital (Fig. 1), spreading their municipalities by the sub-region of Kifle Ketema. It represents the core of the traditional province of different nationalities and has one of the largest metropolitan areas in Ethiopia, with a total population of about 2,700,000 inhabitants, being the largest in Ethiopia.
Fig. 1. Google map of Addis Ababa city and places of lichen samples transplanted. Lich AA 01 = Main Bus station, Lich AA 02 = LeGare, Train station, Lich AA 03 = Bola Airport front side, Lich AA 04 = 4 Kilo Mizeya 27 square, Lich AA 05 = Addis Ababa University, inside Science Faculty compound, physics department backside.
Four areas in the sub-region of Kifle Ketema of Addis Ababa were selected and studied: the urban zone (Main bus station, Leghare Train station, front side of Bola Airport, 4 Kilo area, and Science faculty compound), characterized by heavy surrounding vehicle traffic and small industries.
Instrumentation
The experiments have been performed using a second harmonic (532 nm) of a nanosecond Q-switched Nd: YAG laser having a 10 Hz repetition rate, and a 4 ns pulse width focused on the samples. In this experiment, the ocean optics LIBS 2000+ spectrometer equipped with CCD detector, fiber optic bundle, lens, translation stage, and computer were used. Laser light is focused by a 12 cm diameter UV grade fused silica lens of 30 cm focal length onto the sample surface. The light from the micro-plasma is collected with an optical fiber having UV grade fused silica lens, placed at an angle of 45° relative to the laser beam. The other end of the optical fiber is connected to the spectrometer of LIBS 2000+ of resolution 0.1 nm for 200–500 nm and 0.75 nm for 200–900 nm window region, as shown in Fig. 2. The spectra have been acquired under normal atmospheric pressure and room temperature and using laser energy of 20 mJ/pulse. The spectral signal is then stored on a computer and analyzed using OOILIBS software. Finally, the results of the quantitative analysis are analyzed and graphed using the CF-LIBS algorithm in the MATLAB environment.
Fig. 2. Schematic diagram of LIBS.
Sampling and Sample Preparation
The forest area of Ansas Mariam was selected to collect the lichen samples for monitoring purposes. The site is found on the eastern side of Debre Berhan City. On this site, air pollution is considered to be less or none. After the lichen samples were collected from the background, they were carefully washed with distilled water to remove soil and dust particles from their surfaces and packed in polythene bags during transportation. Before the lichens were transplanted in the selected areas of Addis Ababa city, 20 cm × 10 cm × 10 cm wooden boxes were made for placing the samples. At the bottom of the boxes, a cylindrical shaped water tank, open along its diameter from its top, was fixed for supplying water through a cotton cloth. These samples were placed in cloth boxes made of silk with 1 mm2 pores on one side and cotton clothes on the other. The pores are used as an inlet for air into the lichen samples, and the cotton cloth was used for water transportation into the sample from the water tank. The lichen samples were placed in a single wooden box. Protection against leaching from rainfall was also provided. The wooden boxes were placed on a tree 2 m tall at each selected area. The samples were exposed to air for one month, from 7th June to 6th July. All samples were put around the city’s central location, where high concentrations of pollutants are expected to be available within the region. The samples were collected on the 6th of July. After collecting samples, the samples were oven dried at 80 °C for 10 h to remove any moisture content. The samples were powdered using an agate pestle and mortar. Sample masses were used in the range of 1–2 g. Disk-shaped Polythene sample holders having more significant cross sections were used for transportation to the Laser Spectroscopy Laboratory of the University of Allahabad. Powder lichen samples were pelletized under a pressure of 30 ton/cm2 for 0.5 minutes by Hydraulic press. Laboratory analysis was subsequently carried out using LIBS. Issues related to sample preservation are critical, particularly for metal speciation studies where only trace concentrations are usually the interest and any species inter-conversion during storage were minimized.
Result and Discussion
LIBS signal intensity depends on many factors. It is essential to optimize experimental parameters to get an excellent signal to control these influences. Some experimental parameters that should be optimized are lens-sample distance and delay time. The lens-sample distance was fixed at 30 cm, and the delay time was set at 1.5 µs. In this optical arrangement, the beam waist and the calculated beam radius at the sample surface were 9 mm and 11.3 µm, respectively, resulting in a maximum irradiance of 1.25 × 1012 W·cm−2 when operating at the laser pulse energy 20 mJ. This irradiance result fulfills stoichiometric ablation [1], [11].
LIBS Spectrum of Lichen Samples
The Five locations of Lichen sample spectra are shown in Fig. 3 for different window regions of wavelength from 200 nm to 500 nm and from 200 to 900 nm. All emission spectra were recorded at 1.5 µs delay time and 10 Hz repetition rate. Spectra region from 200–500 nm contains most of the prominent atomic emission lines from the constituent elements. A total of 30 spectra were processed from 5 pellet samples. Each spectrum was obtained from the signal accumulation over 25 consecutive laser shots, delivered each on a fresh spot while the sample was rotated. Spectra interference of emission lines of various constituent elements limits the analysis of LIBS data. The spectra reflect the wide spectra range and the high resolution of the spectrometer in the region of 200–500 nm. Several chemical elements have been identified in different areas of Lichen samples. Many of these elements, including H, O, N, Mg, Ca, K, and C, are associated with the natural makeup of the lichen organism, but certain exotic species, including Fe, Ti, Zn, Ni, V, U, Eu, Mn, Sr, Ba, Na, Sc, Si, and Al are, for the most part, due to human activities and natural processes. The concentrations of the main air pollutants are predicted using CF-LIBS algorithm under MATLAB environment.
Fig. 3. Twenty five shots averaged LIBS Spectra of five Lichen samples of the five locations in the range of 200–300 nm, 300–400 nm, 400–500 nm of resolution 0.1 nm, and 200–900 nm of resolution 0.75 nm window.
CF-LIBS Techniques
To apply CF-LIBS techniques, it is essential to characterize laser-induced plasma in such a way as to analyze the emission spectra based on the model. The model proposed by Ciucci et al. [12] centered on three assumptions. The three assumptions are the plasma should be stoichiometric ablation, optically thin, and in local thermal equilibrium (LTE). The assumption above must be strictly fulfilled for the CF-LIBS approach to be used for quantitative measurements.
Plasma Temperature (T)
The values of temperature and electron density characterizing the different plasma are reported in Table I. These parameters are highly affected by interference and resonance lines. Due to these challenges, the selection of a spectra line that is isolated and well profile is essential. The plasma temperature of each sample was calculated using the isolated spectra line intensity and the known Boltzmann plot method. The plasma temperature was calculated according to the relationship [1], [13]:
where is the integral intensity of a particular spectral line, Z(T) is the partition function, Ns is the number density of relevant species, F is a constant depending on experimental conditions, gi is the statistical weight of the upper energy level, Aij is the transition probability, Ei is the energy of the upper energy level, k is the Boltzmann constant, and T is the electron temperature of the plasma.
| Sample | Plasma temperature (K) | Electron density (cm−3) | 
|---|---|---|
| Lich AA 01 | 12252.35 ± 10% | 1.08 × 1018 | 
| Lich AA 02 | 11856.8 ± 8% | 1.18 × 1018 | 
| Lich AA 03 | 12011.35 ± 12% | 1.82 × 1018 | 
| Lich AA 04 | 11906.01 ± 7.5% | 1.46 × 1018 | 
| Lich AA 05 | 11911.08 ± 8.4% | 1.33 × 1018 | 
Putting (1) in a logarithmic form, the equation of a line is obtained as drawn in Fig. 4. i.e.:
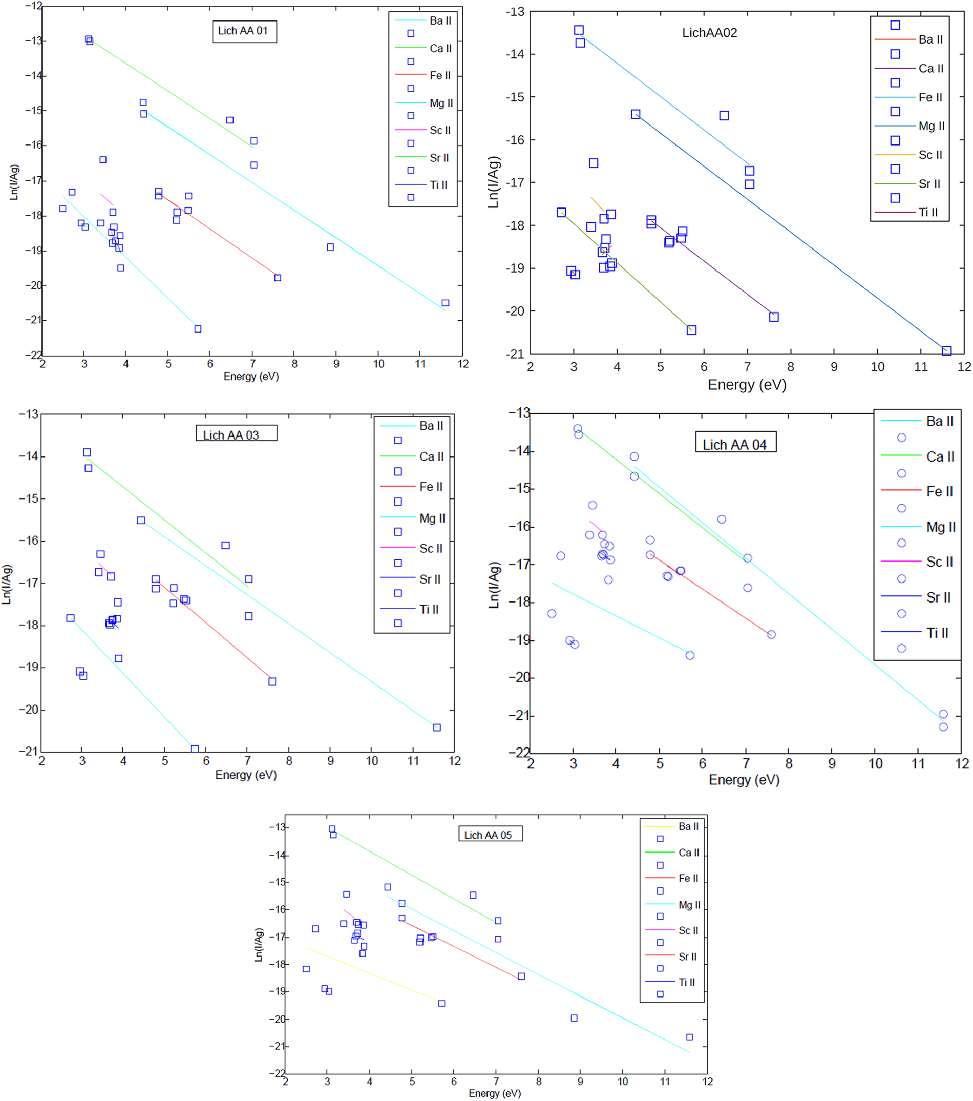
Fig. 4. Boltzmann plots of the five lichen samples of Lich AA 01, Lich AA 02, Lich AA 03, Lich AA 04, and Lich AA 05 for some singly ionized species.
This is a linear equation, which has a slop of related to the plasma temperature, while the intercept is proportional to species concentration. The spectral parameters Aij, gi, and Ei can be obtained from spectra database, and F, Ns, and T must be determined from the experimental data.
Electron Density
The standard method for determining electron density is measuring the broadening of a suitable emission line of the laser-plasma spectrum. Stark broadening of well-isolated lines in the plasma is, thus, helpful in estimating the electron number densities, provided that the Stark-broadening coefficients have been calculated. To obtain the Stark broadening, we used the Lorentzian function to fit Si I (252.85 nm) line, as shown in Fig. 5. After the instrumental line-broadening Δλinstrumental = 0.05 nm was subtracted from the measured line width Δλobserved, the Stark line width ΔλFWHM were extracted, and electron density for each sample are calculated by (3). The Stark broadening of the impact parameter value is taken from NIST at electron temperature of 10000 K (Atomic spectrum database) [14]. The electron density for Si I was determined for each sample and listed in Table I.
Fig. 5. Lorentzain fit to the observed data (dot) to Si I line of 252.85 nm.
By comparing the result with the criterion given by McWhiter of the lower limit of electron density, it can be confirmed that the local thermal equilibrium is valid [1].
where E is the highest transitional energy under a certain experimental condition. T is the plasma temperature. From Table I and (4), it has been confirmed that the LTE condition is held in this experiment.
Optically Thin Plasma
To prove that the plasma is thin, the typical methods are obtaining the intensity ratio of two interference-free emission lines from a species having the same upper energy level and the ratio of the corresponding product of transition probabilities, degeneracy, and inverse wavelength. The uniformity between the intensity ratio and the ratio of the corresponding product of transition probabilities, degeneracy, and inverse wavelength proves the existence of thin plasma [15]. Table II clearly shows that the plasma is optically thin.
| Ti I (337.24/338.36) nm | |||||
|---|---|---|---|---|---|
| Samples | Lich AA 01 | Lich AA 02 | Lich AA 03 | Lich AA 04 | Lich AA 05 | 
| Intensity ratio | 1.45 | 1.22 | 1.29 | 1.43 | 1.56 | 
| Product ratio of(A, g, λ) | 1.36 | 1.36 | 1.36 | 1.36 | 1.36 | 
Concentration
This quantitative calculation aims to calculate the deposition of pollutants that are transferred from the atmosphere to the Lichen samples in a specific period. The concentration of species is calculated according to (2). Neutral and singly ionized atomic species are only considered in this calculation. The intercepts of Boltzmann plots are proportional to the logarithmic of the species concentrations. i.e.:
where qs is the intercept from the Boltzmann plot, Ns is population density of relevant species, and F is experimental parameter. The other species of a given element concentration were deducted using (6) [12]:
where me is the mass of the electron, Ni and NA are the population of single ionized and neutral, respectively, Ne is electron density per cm3, T is temperature of the plasma, k is Boltzmann constant, Zi(T) and ZA(T) are the partition function corresponding to ionic and atomic species respectively; and v is the ionization potential of atomic species in the ground state.
However, a precise concentration measure might be difficult because of the unknown experimental parameter F. Several spectral lines at different energies must be used to get an accurate concentration measure. Then, the F factor can be determined by normalizing to unit the sum of the species concentration.
where Ns is the concentration of the species. Due to the requirement of rigorous data processing, an algorithm has been developed to determine the parameters of the calibration free calculation using a code in MATLAB environment, and the flow chart is shown in Fig. 6.
Fig. 6. Flow diagram of MATLAB program for the CF-LIBS algorithm.
Therefore, the total concentration of the given element is given by:
where CA and Ci indicate the concentration of atomic and ionic species respectively.
The sensitivity of lichens to pollutants is a very efficient mechanism for accumulating substances. More elements were identified in the five Lichen samples transplanted in different Addis Ababa city site areas. The concentrations of some of the pollutants were determined based on the above algorithm and presented in Table III. Oxygen was used as an internal reference to control a substantial relative error affecting the minor because of uncertainty. Because of interference, the spectral lines for some of the pollutants were obscured by Fe, Ti, Ca, and Mg lines which dominate the lichen samples. Many heavy metals and radioactive elements like Uranium are found in the Lichen samples. Ti, Ba, Sc, Ni, Zn, Sr, Eu, and Fe concentrations vary significantly in the lichen samples transplanted to different areas of the city. The highest Ti and Fe concentrations were found in all locations compared to the other pollutants. Total pollutants depositions in the five sites are different. However, there was no primary type of pollutants difference between the three sites of Main bus station, Laghar Train station, and Bola Airport front side areas. This is because the primary source of contaminants in these areas is due mainly to heavier traffic.
| Concentration (ppm) per day per centimeter square | |||||
|---|---|---|---|---|---|
| Ti | 6.98 | 15.37 | 15.99 | 58.28 | 51.43 | 
| Fe | 14.64 | 8.03 | 29.99 | 24.57 | 35.57 | 
| Sc | 1.7 | 2.29 | 2.56 | 4.96 | 6.84 | 
| Ba | 0.18 | 0.09 | 0.12 | 0.18 | 0.14 | 
| Zn | x | x | x | 0.83 | 3.11 | 
| Ni | x | x | x | 16.04 | 13.0 | 
| Sr | 0.09 | 0.11 | 0.09 | 0.08 | 0.09 | 
| Eu | x | x | x | 3.25 | 3.03 | 
On the other hand, a relatively significant difference was obtained between the three sites (Main bus station, Laghar Train station, and Bola Airport front side area) and the two sites (4-kilo Miyazya 27 square, and inside Science Faculty compound backside of physics department). There is a high concentration in the two sites, and more pollutants were found. Zn, Ni, and Eu are some of the additional elements found in the two sites. One cause of the high and more pollutants concentration in these two sites may be because it is the most populated with significantly heaviest traffic and chemical store building with a ventilator found at the back side of the physics department. Some of the pollutant’s relative concentrations are predicted in Fig. 7.
Fig. 7. Relative concentration comparison of pollutants in different sites.
Despite a certain extent of a complex situation, the results of the different pollutants investigation give a very unambiguous indication of the pollution of air in the five main populated areas of the city from the anthropogenic sources and chemical stores. The toxic effects of some pollutant elements on organisms are relatively small. But their compound might be the most harmful. For example, vanadium pentoxide is the most poisonous compound for organisms. The analytical result on the heavy metals around the five areas, such as Fe, Ba, Sr, Sc, and Ti, showed heavy metals highly pollute the areas.
The unfavorable air pollution situation may adversely affect the natural environment and human health. An environmental hypothesis suggests that the endemic distribution of diseases directly correlates with the geographic patterns of deficiencies or excess of essential elements. For example, environmental chronic exposure to non-essential elements such as barium has been considered to affect human health, given the fact that elevated concentrations of barium were observed in the science faculty of Addis Ababa University. Considering heavy metal atmospheric deposition in the city, specific geographical distribution patterns of several elements are evident. The highest concentration of Fe and Ti values were observed in the town, mainly connected mostly with fuel combustion and small industry.
Conclusion
In this study, five main centers of the city have been selected for a random survey of air pollution places using lichen as a bio-monitor and CF-LIBS as elemental analysis techniques. The results suggested that the existence of high trafficking and small industries causes diffuse atmospheric contamination in such a way as to have caused a detectable heavy metal and some radioactive in lichens such as Fe, Ti, Ba, U, Eu, Sr, Sc, and Ni. The analytical data on the heavy metals around different studied sites, such as Ti, Fe, Ba, Sr, Sc, Zn, and Eu, showed clear statistical differences in the concentration of elements in different city locations. The deposition level in 4-kilo and inside the science faculty compound found very high levels of some heavy metals (Fe, Ti), and also additional elements were obtained like Zn, Eu, and Ni in lichen samples due to the heavy traffic, small industries, and chemical stores. Despite quite complex circumstances, the results of the investigation of the heavy metals and radioactive elements give a clear indication of the spread of air pollutants from different sources and have long-term effects on living organisms. Lichen as a bio-monitor and CF-LIBS are good techniques for the identification and determination of air pollutants in the atmosphere.
References
- 
		                                    
			                                    Andrzej W, Palleschi V, Schechter I. Laser-Induced Breakdown Spectroscopy (LIBS): Fundamentals and Applications. New York: Cambridge University Press; 2006. 
                                                
                                                
Google Scholar
                                                                                  1 
		                                		                                 - 
		                                    
			                                    Parquini C, Corter J, Silva LMC,Gonzaga FB. Laser induced breakdown spectroscopy. J BrazChem Soc. 2007;18(3):463–512. 
                                                
                                                
Google Scholar
                                                                                  2 
		                                		                                 - 
		                                    
			                                    Tognoni E, Cristoforetti G, Legnaioli S, Palleschi V. Calibration-free laser-induced breakdown spectroscopy: state of the art. Spectrochimica Acta Part B 65. 2009;65:1–4. 
                                                
                                                
Google Scholar
                                                                                  3 
		                                		                                 - 
		                                    
			                                    Hu Z, Zhang D, Wang W, Chen F, Xu Y, Nie J, et al. A review of calibration-free laser-induced breakdown spectroscopy. TrAC Trends Anal Chem. 2022;152:116618. 
                                                
                                                
Google Scholar
                                                                                  4 
		                                		                                 - 
		                                    
			                                    Gombert S, Asta J, Seaward MRD. Correlation between the nitrogen concentration of two epiphytic lichens and the traffic density in an urban area. Environ Pollut. 2003;123:281–90. 
                                                
                                                
Google Scholar
                                                                                  5 
		                                		                                 - 
		                                    
			                                    Conti ME, Cecchetti G. Biological monitoring: lichens as bio-indicators of air pollution assessment—a review. Environ Pollut. 2001;114:471–92. 
                                                
                                                
Google Scholar
                                                                                  6 
		                                		                                 - 
		                                    
			                                    Loppi S, Ivanov D, Boccardi R. Biodiversity of epiphytic lichens and air pollution in the town of Siena (Central Italy). Environ Pollut. 2002;116:123–8. 
                                                
                                                
Google Scholar
                                                                                  7 
		                                		                                 - 
		                                    
			                                    Marinova S, Yurukou L, Frontasyeua MV. Air pollution studies in Bulgaria using the moss biomonitoring techniques, ecological chemistry and engineering S. 2010;17(1):37–52. 
                                                
                                                
Google Scholar
                                                                                  8 
		                                		                                 - 
		                                    
			                                    Kinalioglu K, Ozbucak T, Kutbay G. Bio Monitoring of Trace Elements with Lichens in Samsum City. Turkey: Ekoloji; 2010. 
                                                
                                                
Google Scholar
                                                                                  9 
		                                		                                 - 
		                                    
			                                    Nygard S, Harju L. A study of the short range pollution around a power plant using heavy fuel oil by analysing vanadium lichens. Lichenologist. 1983;13(1):89–93. 
                                                
                                                
Google Scholar
                                                                                  10 
		                                		                                 - 
		                                    
			                                    Assefa MD, Chaubey AK, Taddess A, Hibstie AY. Relative determination of micronutrient of different species of Teff (Eragrestis) seeds of Ethiopia origin by calibration free laser induced breakdown spectroscopy techniques. Adv J Food Sci Technol. 2013;5(3):332–8. 
                                                
                                                
Google Scholar
                                                                                  11 
		                                		                                 - 
		                                    
			                                    Ciucci A, Corsi M, Palleschi V, Rastelli S, Salyetti A, Tognoni E. New procedure for quantitative elemental analysis by Laser-Induced plasma spectroscopy. Appl Spectrosc. 1999;53:960. 
                                                
                                                
Google Scholar
                                                                                  12 
		                                		                                 - 
		                                    
			                                    Assefa MD, Chaubey AK, Hailu AT, Hibstie AY. Multi-elemental INAA and CF-LIBS techniques for analysis of rocks of Ethiopian Tropical forest area of Tepi. Euro Phys J Appl Phys. 2013;62(3):30701. 
                                                
                                                
Google Scholar
                                                                                  13 
		                                		                                 - 
		                                    
			                                    National Institute of Standards and Technology, Atomic Spectra Database.Available from: http://www.nist.gov/srd/index.htm. 
                                                
                                                
Google Scholar
                                                                                  14 
		                                		                                 - 
		                                    
			                                    Pandhija S, Rai NK, Rai AK, Thakur SN. Contaminant concentration in environmental samples using LIBS and CF_LIBS. Appl Phys B. 2009;98(2010):231–41. 
                                                
                                                
Google Scholar
                                                                                  15 
		                                		                             
Similar Articles
- Steven B. Krivit, Michael J. Ravnitzky, Review of Condensed-Matter Nucleosynthesis , European Journal of Applied Physics: Vol. 7 No. 5 (2025)
 - Rajendra S. Prajapati, Origin of Gravity and Reason for General Theory of Relativity Passing All the Tests , European Journal of Applied Physics: Vol. 7 No. 2 (2025)
 - Reginald Little, Theory of Negative Nuclear Magnetic Moment for Evidence of Dark Matter and Energy for Accelerating 3He during Solar Flares , European Journal of Applied Physics: Vol. 7 No. 3 (2025)
 - Reginald B. Little, Relativistic Chiral Inversion of Non-Zero Nuclear Magnetic Moments During Centrifugal Industrial Fermentative Processes , European Journal of Applied Physics: Vol. 5 No. 6 (2023)
 - Jiří Stávek, Revisiting Nickel-Copper-Zirconia-Hydrogen Systems in Low Energy Nuclear Reactions: Toward a Unified Framework Based on Electron Catalysis and Nuclear Data , European Journal of Applied Physics: Vol. 7 No. 3 (2025)
 - Jiří Stávek, The Rutherford-Harkins-Landau-Chadwick Key–VI. A Proposal for the Reproducible and Irrefutable Cold Fusion Reaction , European Journal of Applied Physics: Vol. 7 No. 2 (2025)
 - Tadahiko Mizuno, Neutrons Produced by Heating Processed Metals , European Journal of Applied Physics: Vol. 7 No. 4 (2025)
 - Reginald B. Little, Possible Treatment of Coronavirus and Other Viruses by Stable Isotopes and Electromagnetic Fields and Waves , European Journal of Applied Physics: Vol. 7 No. 1 (2025)
 - Alex Ioskevich, Time Tacking: Practical Approach to Interstellar Travel , European Journal of Applied Physics: Vol. 7 No. 1 (2025)
 - Bhargavi KS, Anindita Bose, Naveen CS, Synthesis of NiO/TiO₂ Binary Nano Composite for the Enhancement of Gas Sensing Properties , European Journal of Applied Physics: Vol. 5 No. 5 (2023)
 
You may also start an advanced similarity search for this article.
					
						




